作為一種自適應步長隨機梯度優化器,自2014年提出以來,Adam 算法便以其卓越的性能風靡深度學習領域。為了提高應用於訓練大規模任務時的效率,該算法通常與同步隨機梯度(Synchronous Stochastic Gradient,SSG)技術相結合,采用數據並行(data parallel)的方式在多台機器上執行。在本文中,我們稱這一方法為 Sync-Adam。
本質上來講,Sync-Adam 通過將一個 minibatch 內樣本的梯度計算分布到多台機器上達到加速目的,因此通信十分頻繁,並且隨著並行機器數目增多,minibatch 內樣本的數量也成比例增加,這種情況下,通常會損害最終得到的模型的性能。為解決基於 SSG 的 Adam 算法可擴展性差的難題,我們把目光投向了逐區塊模型更新濾波(Blockwise Model-Update Filtering, BMUF)框架。
BMUF 是一種通信高效的通用分布式優化算法框架,於2016年由微軟亞洲研究院語音組的研究人員提出並發表。該算法在多個並行工作機之間周期性同步模型更新信息,並與曆史更新信息相結合提升全局模型性能。與基於 SSG 的算法相比,BMUF 具有通信頻率較低、訓練幾乎線性加速、模型性能基本無損的特點。這一算法已經在工業界廣泛用於大規模深度學習模型的訓練。
本文中,我們采用 BMUF 框架並行化 Adam 算法,並在微軟大規模 OCR 和語音產品數據集上進行了測試。實驗結果表明,在大規模 OCR 任務中,BMUF-Adam 在多達64機的並行訓練中幾乎實現了線性加速的同時,基本沒有模型性能損失,在32機大詞彙量連續語音識別任務中也獲得了類似效果。
接下來我們探討如何采用 BMUF 框架賦能 Adam 算法,在大規模深度學習任務上成就不凡。
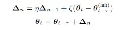
在基於 BMUF 的訓練框架下,假設我們總共有 N 個並行工作機,一個工作機可以是一塊或多塊 GPU 卡,也可以是一個計算節點。給定一個包含 Nτ 個 minibatch 的訓練數據子集,首先我們將這些數據均勻分布到 N 個並行工作機,每台工作機獲得 τ 個 minibatch。從一個共同的初始模型 θ_(t-τ)^((init)) 開始,N 個工作機獨立更新各自的局部模型 τ 步,得到 {θ_(t,1),θ_(t,2),…,θ_(t,N)},對局部模型取平均得到 θ ?_t。這一過程稱之為數據塊內並行優化(Intra-Block Parallel Optimization, IBPO)。與直接將 θ ?_t 作為全局模型不同,BMUF 技術將曆史更新信息與當前更新信息結合,得到全局模型:


![]() |
| 機器人招商Disinfection Robot機器人公司機器人應用智能醫療物聯網機器人排名機器人企業機器人政策教育機器人迎賓機器人機器人開發獨角獸消毒機器人品牌消毒機器人合理用藥地圖 |